May 2002 NYB Exam

For printing, use this PDF format file
Be sure to get the figure below.

Figure for question 12:

Answers

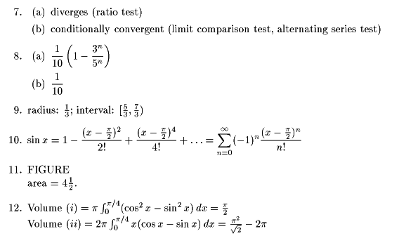
Be sure to get the figure below.

Figure for question 11: