Calculus III Exam - December 2002

PDF format suitable for printing

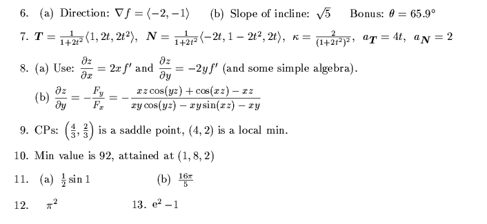
Answers

PDF format suitable for printing

Errors:
No 3(a) is correct on-screen; it has now been corrected as well on the pdf file (but in old versions of that file, only the basic function's series was given, not the integral).
No 7, there should be no square root in the expressions for T and N. This has now been corrected.