NYB Cal II Exam December 2001

Also available in PDF format, suitable for printing

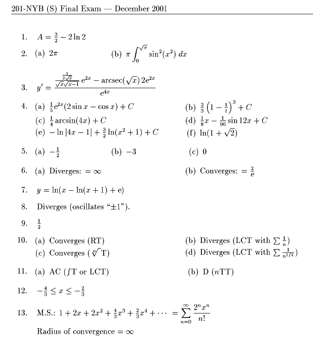
Answers

Also available in PDF format, suitable for printing