Best printed in landscape mode

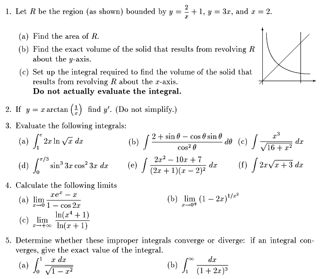
Cal II (S) NYB - December 2000 Exam

Also available in PDF format for printing

Answers

Also available in PDF format for printing
TYPO: the answer to 4(b) should be 0 (i.e. exp(-infinity))