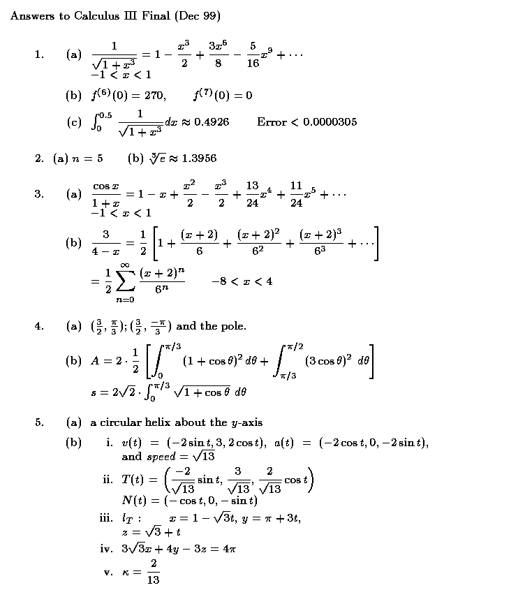
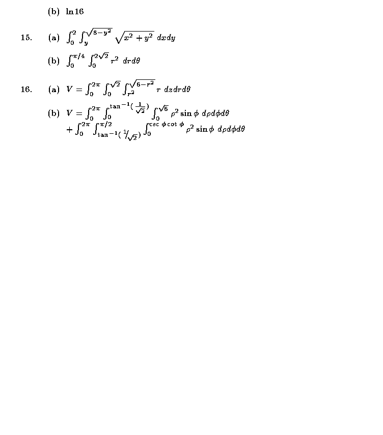
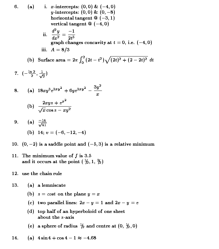
Cal III Dec 99 Exam

Answers

Correction to the answers:
2(a) n = 4 (not 5)