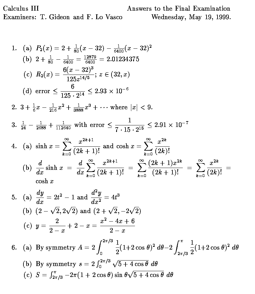
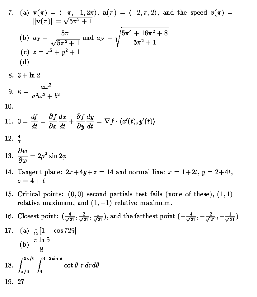
Cal III May 99 Exam

Answers