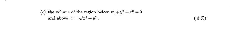
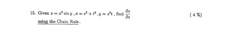
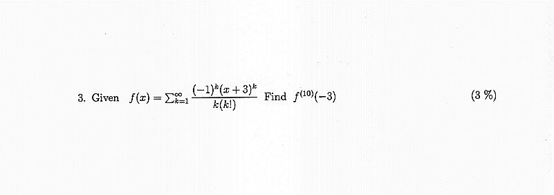
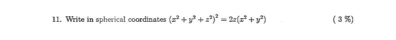
Cal III Exam May 1996